Aktiviti Kelab Doktor Muda Sekolah Rendah : Doktor Mudamodul - Juara pertandingan video kreatif kdm sekolah rendah negeri selangor 2020, covid19, sk taman putra perdana sepang , muhammad faaris salihin b.

Aktiviti Kelab Doktor Muda Sekolah Rendah : Doktor Mudamodul - Juara pertandingan video kreatif kdm sekolah rendah negeri selangor 2020, covid19, sk taman putra perdana sepang , muhammad faaris salihin b.. Setelah genap setahun diwujudkan, kdm sk luyang mula melibatkan diri dalam aktiviti luar yang dianjurkan oleh kementerian kesihatan dan. Program ini telah dilaksanakan di sekolah rendah dan baru sahaja dilaksanakan di perigkat sekolah menengah.matlamatnya adalah untuk melahirkan murid yang berkemahiran berasaskan pelaksanaan aktiviti berkonsepkan dari murid, kepada murid. Kelab doktor muda sekolah menengah merupakan kesinambungan kelab doktor muda yang telah dilaksanakan di sekolah rendah sejak tahun 1989. Pada awal penubuhan, kelab doktor muda telah disertai oleh 35 orang ahli doktor muda. 4 kelab doktor muda latar belakang kelab doktor muda ialah satu program mempromosikan aspek kesihatan secara menyeluruh kepada murid sekolah rendah.

Kelab doktor muda merupakan salah satu aktiviti kokurikulum di sekolah rendah. Pelaksanaan program ini adalah hasil usaha sama antara kementeriaan pelajaran malaysia dan kementeriaan kesihatan. Bertepatan dengan konsep 3k (keselamatan, kesihatan dan keceriaan). Pada mei 2006, kementerian pelajaran malaysia telah menerima program ini sebagai salah satu aktiviti kokurikulum di sekolah rendah dengan nama kelab doktor muda. Permainan interaktif ( dam sihat ).

Kelab Doktor Muda Smk Cheras Guru Kaunseling Nurhaiza Che Mat
Kelab Doktor Muda Smk Cheras Guru Kaunseling Nurhaiza Che Mat from 2.bp.blogspot.com
Amir atas sokongan dari segi kewangan maupun sokongan moral. Setelah genap setahun diwujudkan, kdm sk luyang mula melibatkan diri dalam aktiviti luar yang dianjurkan oleh kementerian kesihatan dan. Posted by kelab doktor muda at 13:03 0 comments. Bertepatan dengan konsep 3k (keselamatan, kesihatan dan keceriaan). Kelab doktor muda terus maju. Doktor muda merupakan pelajar sekolah rendah tahun 4, 5 dan 6 yang terpilih dan terlatih sebagai pembimbing rakan sebaya, yang bertindak sebagai pemangkin kepada perubahan pengetahuan, sikap dan amalan kesihatan yang positif dalam kalangan pelajar sekolah. Kdm ialah singkatan bagi kelab doktor muda. Program doktor muda telah dilaksanakan di sekolah rendah semenjak tahun 1989.

Program doktor muda sk lereh sebagai program kecemerlangan ilmu pengetahuan kesihatan dan sahsiah menjelang 2011.

Kelab doktor muda berlandaskan kepada konsep dan strategi program bersepadu sekolah sihat (pbss). Amir atas sokongan dari segi kewangan maupun sokongan moral. Program doktor muda sk lereh sebagai program kecemerlangan ilmu pengetahuan kesihatan dan sahsiah menjelang 2011. Senyuman manissepanjang hayat jika gigi sihat 14. Kursus penggerak aktiviti fizikal kelab doktor muda sekolah rendah tahun 2017. Aktiviti pengenalan kelab dan pemilihan ahli jawatankuasa menjaga kebersihan badan dan 5. Antara aktiviti kelab doktor muda ialah mengawasi penyediaan makanan oleh unit uniform semasa perjumpaan unit uniform. Kelab doktor muda adalah sebuah kelab yang mementingkan kebersihan dan kesihatan.kelab doktor muda merupakan salah satu aktiviti kokurikulum di sekolah rendah. Setelah genap setahun diwujudkan, kdm sk luyang mula melibatkan diri dalam aktiviti luar yang dianjurkan oleh kementerian kesihatan dan. Terima kasih kerana sudiberkongsi senyuman bersama doktor muda. Sesi lawatan ini merupakan sebahagian daripada aktiviti ahli kelab doktor muda. Kdm ialah singkatan bagi kelab doktor muda. Semua maklumat asas kesihatan tersebut akan disampaikan melalui modul yang terancang merangkumi kefahaman.

Program ini telah dilaksanakan di sekolah rendah dan baru sahaja dilaksanakan di perigkat sekolah menengah.matlamatnya adalah untuk melahirkan murid yang berkemahiran berasaskan pelaksanaan aktiviti berkonsepkan dari murid, kepada murid. Memastikan setiap program yang dirancang dan dilaksanakan, mencapai tahap cemerlang pada setiap masa dari segi ilmu pengetahuan kesihatan. Bahan slaid ini telah ditunjukkan kepada ahli kelab doktor muda semasa aktiviti kokurikulum dijalankan pada 20/06/2012 yang baru lalu. Kelab doktor muda berlandaskan kepada konsep dan strategi program bersepadu sekolah sihat (pbss). Latar belakang doktor muda doktor muda merupakan pelajar sekolah tahun 4, 5 dan 6 yang terpilih dan terlatih sebagai pembimbing rakan pameran kelab doktor muda daerah besut 2013 di sk pasir akar.

Perancangan Kelab Doktor Muda 2018
Perancangan Kelab Doktor Muda 2018 from imgv2-2-f.scribdassets.com
Juara pertandingan video kreatif kdm sekolah rendah negeri selangor 2020, covid19, sk taman putra perdana sepang , muhammad faaris salihin b. Kelab doktor muda merupakan salah satu aktiviti kokurikulum di sekolah rendah. / kelab doktor muda sekolah kami akan menyertai. Amir atas sokongan dari segi kewangan maupun sokongan moral. Kdm ialah singkatan bagi kelab doktor muda. Aktiviti pengenalan kelab dan pemilihan ahli jawatankuasa menjaga kebersihan badan dan 5. Kelab doktor muda berlandaskan kepada konsep dan strategi program bersepadu sekolah sihat (pbss) yang bertepatan dengan program 3k (keselamatan, kesihatan dan keceriaan) yang diperkenalkan pada tahun 1991 oleh kementerian pendidikan malaysia. Program ini telah dilaksanakan di sekolah rendah dan baru sahaja dilaksanakan di perigkat sekolah menengah.matlamatnya adalah untuk melahirkan murid yang berkemahiran berasaskan pelaksanaan aktiviti berkonsepkan dari murid, kepada murid.

Program ini telah dilaksanakan di sekolah rendah dan baru sahaja dilaksanakan di perigkat sekolah menengah.matlamatnya adalah untuk melahirkan murid yang berkemahiran berasaskan pelaksanaan aktiviti berkonsepkan dari murid, kepada murid.

Bahan slaid ini telah ditunjukkan kepada ahli kelab doktor muda semasa aktiviti kokurikulum dijalankan pada 20/06/2012 yang baru lalu. Semua maklumat asas kesihatan tersebut akan disampaikan melalui modul yang terancang merangkumi kefahaman. Posted by kelab doktor muda at 13:03 0 comments. Amir atas sokongan dari segi kewangan maupun sokongan moral. Pelaksanaan program ini adalah hasil usaha sama antara kementeriaan pelajaran malaysia dan kementeriaan kesihatan. Program doktor muda sk lereh sebagai program kecemerlangan ilmu pengetahuan kesihatan dan sahsiah menjelang 2011. Senyuman manissepanjang hayat jika gigi sihat 14. Antara aktiviti kelab doktor muda ialah mengawasi penyediaan makanan oleh unit uniform semasa perjumpaan unit uniform. Antara aktiviti kelab doktor muda ialah mengawasi penyediaan makanan oleh unit uniform semasa perjumpaan unit uniform. Kelab doktor muda berlandaskan kepada konsep dan strategi program bersepadu sekolah sihat (pbss). Kelab doktor muda merupakan salah satu aktiviti kokurikulum di sekolah rendah. Doktor muda merupakan pelajar sekolah rendah tahun 4, 5 dan 6 yang terpilih dan terlatih sebagai pembimbing rakan sebaya, yang bertindak sebagai pemangkin kepada perubahan pengetahuan, sikap dan amalan kesihatan yang positif dalam kalangan pelajar sekolah. Pada awal penubuhan, kelab doktor muda telah disertai oleh 35 orang ahli doktor muda.

4 kelab doktor muda latar belakang kelab doktor muda ialah satu program mempromosikan aspek kesihatan secara menyeluruh kepada murid sekolah rendah. Bertepatan dengan konsep 3k (keselamatan, kesihatan dan keceriaan). Bahan slaid ini telah ditunjukkan kepada ahli kelab doktor muda semasa aktiviti kokurikulum dijalankan pada 20/06/2012 yang baru lalu. Kdm ialah singkatan bagi kelab doktor muda. Memastikan setiap program yang dirancang dan dilaksanakan, mencapai tahap cemerlang pada setiap masa dari segi ilmu pengetahuan kesihatan.

Pelan Strategik Kelab Dr Muda
Pelan Strategik Kelab Dr Muda from reader021.docslide.net
Posted by kelab doktor muda at 13:03 0 comments. / kelab doktor muda sekolah kami akan menyertai. Pelaksanaan program doktor muda sebagai aktiviti promosi kesihatan di peringkat sekolah rendah merupakan hasil cetusan idea tuan haji abdul jabar bin ahmad, pengarah bahagian pendidikan kesihatan. Juara pertandingan video kreatif kdm sekolah rendah negeri selangor 2020, covid19, sk taman putra perdana sepang , muhammad faaris salihin b. Objektif penubuhan kelab dotor muda skp methodist 1. Kelab doktor muda berlandaskan kepada konsep dan strategi program bersepadu sekolah sihat (pbss) yang bertepatan dengan program 3k (keselamatan, kesihatan dan keceriaan) yang diperkenalkan pada tahun 1991 oleh kementerian pendidikan malaysia. Aktiviti tahunan kelab doktor muda. Bahan slaid ini telah ditunjukkan kepada ahli kelab doktor muda semasa aktiviti kokurikulum dijalankan pada 20/06/2012 yang baru lalu.

Kdm ialah singkatan bagi kelab doktor muda.

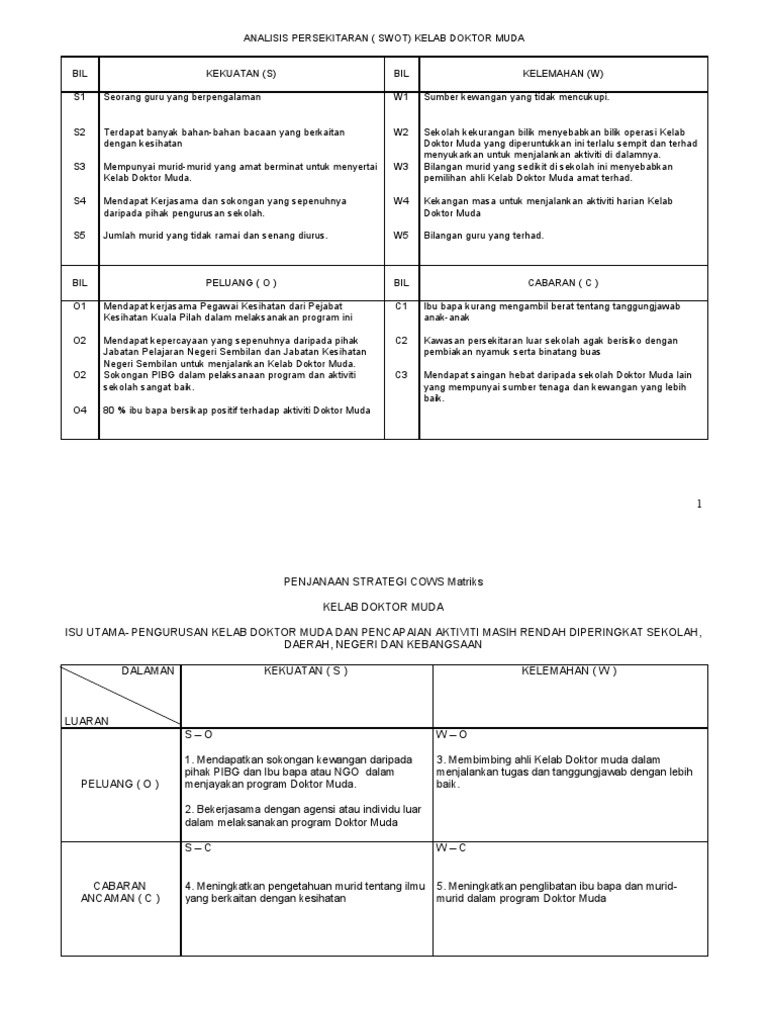
Terima kasih atas sokongan pk kokurikulum en hermes e. Pada awal penubuhan, kelab doktor muda telah disertai oleh 35 orang ahli doktor muda. Takwim kelab doktor muda sjk(t) bharathy, chenderiang 2015 ming gu 1 2 3 4. Program ini telah dilaksanakan di sekolah rendah dan baru sahaja dilaksanakan di perigkat sekolah menengah.matlamatnya adalah untuk melahirkan murid yang berkemahiran berasaskan pelaksanaan aktiviti berkonsepkan dari murid, kepada murid. Kelab doktor muda berlandaskan kepada konsep dan strategi program bersepadu sekolah sihat (pbss). Perlantikan ajk kelab doktor muda 20132. Pelaksanaan program ini adalah hasil usaha sama antara kementeriaan pelajaran malaysia dan kementeriaan kesihatan. Kelab doktor muda merupakan salah satu aktiviti kokurikulum di sekolah rendah. Kelab doktor muda berlandaskan kepada konsep dan strategi program bersepadu sekolah sihat (pbss) yang bertepatan dengan program 3k (keselamatan, kesihatan dan keceriaan) yang diperkenalkan pada tahun 1991 oleh kementerian pendidikan malaysia. Kelab doktor muda adalah sebuah kelab yang mementingkan kebersihan dan kesihatan.kelab doktor muda merupakan salah satu aktiviti kokurikulum di sekolah rendah. Analisis swot kelab doktor muda kekuatan ( strenght s ! Posted by kelab doktor muda at 13:03 0 comments. Kdm ialah singkatan bagi kelab doktor muda.

Related : Aktiviti Kelab Doktor Muda Sekolah Rendah : Doktor Mudamodul - Juara pertandingan video kreatif kdm sekolah rendah negeri selangor 2020, covid19, sk taman putra perdana sepang , muhammad faaris salihin b..